点击咨询
输入您的信息
产品分类
产品介绍

YIHOO AN1010

型号:65447-77-0

    青岛银荷普利新材料科技有限公司
      QINGDAO YIHOO POLYMER TECHNOLOGY CO. LTD.
    TECHNICAL DATA SHEET
    YIHOO AN1010




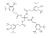
    化学名称季戊四醇四[3-(3,5-二叔丁基-4-羟基苯基)丙酸酯]




    CAS 号6683-19-8





    分子结构image.png

























    产品形态白色粉末

    规格测试项目指标

    纯度 (%)98.00 min

    熔点 (℃)110.00-125.00

    挥发分 (%)0.50 max

    透光率 (%)


    425nm95.00 min

    500nm97.00 min




    应用Yihoo AN1010 是一种高性能的空间位阻酚类抗氧剂,主要针对聚丙烯 (PP) 树脂进行了优化。它也适用于多种聚合物材料,包括聚乙烯 (PE)、聚苯乙烯 (PS)、ABS 树脂、聚氨酯、PBT 树脂、PVC、聚酯、聚甲醛、聚酰胺以及各种合成橡胶。此外,它还可用作多种天然和合成油品的优质抗氧剂。
    包装25kg 纸箱/袋









    留言