点击咨询
输入您的信息
产品分类
产品介绍

YIHOO Anti-Static AS603

型号:65447-77-0

     青岛银荷普利新材料科技有限公司
    QINGDAO YIHOO POLYMER TECHNOLOGY CO. LTD.
    TECHNICAL DATA SHEET
    YIHOO Anti-Static AS603
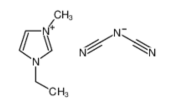
    化学名称1-乙基-3-甲基咪唑鎓二氰胺盐
    CAS 号370865-89-7

    分子结构image.png

















    产品形态浅黄色至黄色透明液体
    规格测试项目指标

    熔点 (℃)-5

    气味无味 (不挥发)

    pH 值6~9

    折光率1.511

    蒸汽压~ 0Pa (分解前)
    应用YIHOO Anti-Static AS603 是一种高性能、中等极性的非反应型 100% 离子液体抗静电剂。它属于内添加型双氰胺盐离子液体,可提供持久、连续的抗静电性能。值得注意的是,它对目标产品的透明度、粘度、流动性及其他关键性能无负面影响。该产品紫外线吸收极低,因此不会干扰相关配方中光引发剂的选择。
    它广泛适用于各种涂料体系、塑料添加剂配方以及聚氨酯发泡工艺。最佳用量需通过实际应用测试确定;推荐添加量为 0.2% 至 5%。
    包装/









    留言